How To Find Oxidation Number Of Complex Compound
25.iii: Coordination Compounds
- Page ID
- 85050
- Listing the defining traits of coordination compounds
- Describe the structures of complexes containing monodentate and polydentate ligands
- Apply standard nomenclature rules to proper name coordination compounds
- Explain and provide examples of geometric and optical isomerism
- Place several natural and technological occurrences of coordination compounds
The hemoglobin in your blood, the chlorophyll in green plants, vitamin \(B_{12}\), and the catalyst used in the manufacture of polyethylene all contain coordination compounds. Ions of the metals, particularly the transition metals, are likely to form complexes. Many of these compounds are highly colored (Figure \(\PageIndex{i}\)). In the rest of this chapter, we volition consider the construction and bonding of these remarkable compounds.

Remember that in near main group chemical element compounds, the valence electrons of the isolated atoms combine to grade chemical bonds that satisfy the octet rule. For instance, the four valence electrons of carbon overlap with electrons from 4 hydrogen atoms to form CHfour. The one valence electron leaves sodium and adds to the seven valence electrons of chlorine to form the ionic formula unit NaCl (Figure \(\PageIndex{2}\)). Transition metals exercise non normally bond in this fashion. They primarily grade coordinate covalent bonds, a form of the Lewis acid-base of operations interaction in which both of the electrons in the bail are contributed by a donor (Lewis base) to an electron acceptor (Lewis acid). The Lewis acid in coordination complexes, frequently called a central metal ion (or cantlet), is frequently a transition metallic or inner transition metal, although principal group elements can also form coordination compounds. The Lewis base of operations donors, chosen ligands, can be a wide variety of chemicals—atoms, molecules, or ions. The only requirement is that they have 1 or more electron pairs, which can exist donated to the key metal. Most frequently, this involves a donor cantlet with a lonely pair of electrons that can form a coordinate bond to the metal.

The coordination sphere consists of the central metallic ion or atom plus its fastened ligands. Brackets in a formula enclose the coordination sphere; species outside the brackets are non part of the coordination sphere. The coordination number of the central metal ion or atom is the number of donor atoms bonded to information technology. The coordination number for the silver ion in [Ag(NH3)ii]+ is 2 (Figure \(\PageIndex{3}\)). For the copper(II) ion in [CuCl4]2−, the coordination number is four, whereas for the cobalt(II) ion in [Co(HiiO)six]2+ the coordination number is six. Each of these ligands is monodentate, from the Greek for "ane toothed," meaning that they connect with the central metallic through but one atom. In this instance, the number of ligands and the coordination number are equal.

Many other ligands coordinate to the metal in more complex fashions. Bidentate ligands are those in which two atoms coordinate to the metallic eye. For example, ethylenediamine (en, H2NCH2CH2NH2) contains two nitrogen atoms, each of which has a alone pair and tin can serve equally a Lewis base (Figure \(\PageIndex{4}\)). Both of the atoms can coordinate to a single metal centre. In the complex [Co(en)three]3+, there are three bidentate en ligands, and the coordination number of the cobalt(III) ion is half dozen. The about common coordination numbers are two, iv, and half-dozen, simply examples of all coordination numbers from 1 to 15 are known.

Any ligand that bonds to a primal metallic ion past more than than one donor atom is a polydentate ligand (or "many teeth") because it tin can bite into the metal eye with more than ane bail. The term chelate (pronounced "KEY-late") from the Greek for "claw" is also used to draw this type of interaction. Many polydentate ligands are chelating ligands, and a complex consisting of one or more of these ligands and a central metal is a chelate. A chelating ligand is also known every bit a chelating agent. A chelating ligand holds the metal ion rather like a crab'south claw would hold a marble. Figure \(\PageIndex{4}\) showed one example of a chelate and the heme complex in hemoglobin is some other important example (Figure \(\PageIndex{5}\)). It contains a polydentate ligand with four donor atoms that coordinate to iron.

Polydentate ligands are sometimes identified with prefixes that indicate the number of donor atoms in the ligand. Every bit nosotros accept seen, ligands with 1 donor atom, such as NH3, Cl−, and HiiO, are monodentate ligands. Ligands with two donor groups are bidentate ligands. Ethylenediamine, HtwoNCH2CH2NHtwo, and the anion of the acid glycine, \(\ce{NH2CH2CO2-}\) (Figure \(\PageIndex{half-dozen}\)) are examples of bidentate ligands. Tridentate ligands, tetradentate ligands, pentadentate ligands, and hexadentate ligands contain three, iv, five, and six donor atoms, respectively. The heme ligand (Effigy \(\PageIndex{5}\)) is a tetradentate ligand.

The Naming of Complexes
The nomenclature of the complexes is patterned after a system suggested by Alfred Werner, a Swiss chemist and Nobel laureate, whose outstanding work more than 100 years ago laid the foundation for a clearer agreement of these compounds. The following five rules are used for naming complexes:
- If a coordination compound is ionic, name the cation offset and the anion second, in accordance with the usual nomenclature.
- Proper noun the ligands first, followed by the central metal. Name the ligands alphabetically. Negative ligands (anions) have names formed past calculation -o to the stalk name of the grouping (e.yard., Table \(\PageIndex{1}\). For most neutral ligands, the name of the molecule is used. The four common exceptions are aqua (H2O), amine (NH3), carbonyl (CO), and nitrosyl (NO). For example, name [Pt(NH3)iiCl4] as diaminetetrachloroplatinum(Iv).
- If more than than ane ligand of a given type is nowadays, the number is indicated by the prefixes di- (for two), tri- (for three), tetra- (for 4), penta- (for five), and hexa- (for 6). Sometimes, the prefixes bis- (for 2), tris- (for three), and tetrakis- (for four) are used when the name of the ligand already includes di-, tri-, or tetra-, or when the ligand proper name begins with a vowel. For example, the ion bis(bipyridyl)osmium(II) uses bis- to signify that in that location are two ligands attached to Bone, and each bipyridyl ligand contains 2 pyridine groups (C5H4N).
Anionic Ligand | Name |
---|---|
F− | fluoro |
Cl− | chloro |
Br− | bromo |
I− | iodo |
CN− | cyano |
\(\ce{NO3-}\) | nitrato |
OH− | hydroxo |
O2– | oxo |
\(\ce{C2O4^2-}\) | oxalato |
\(\ce{CO2^2-}\) | carbonato |
When the complex is either a cation or a neutral molecule, the proper noun of the central metallic atom is spelled exactly like the proper noun of the element and is followed by a Roman numeral in parentheses to point its oxidation state (Tables \(\PageIndex{ii}\), \(\PageIndex{3}\), and \(\PageIndex{3}\)). When the complex is an anion, the suffix -ate is added to the stem of the name of the metal, followed by the Roman numeral designation of its oxidation country.
Examples in Which the Complex Is Cation | |
[Co(NHthree)6]Cl3 | hexaaminecobalt(III) chloride |
[Pt(NH3)4Cl2]2+ | tetraaminedichloroplatinum(Four) ion |
[Ag(NHthree)2]+ | diaminesilver(I) ion |
[Cr(H2O)ivCltwo]Cl | tetraaquadichlorochromium(III) chloride |
[Co(H2NCH2CH2NH2)3]two(And thenfour)3 | tris(ethylenediamine)cobalt(3) sulfate |
Examples in Which the Complex Is Neutral | |
[Pt(NHiii)2Clfour] | diaminetetrachloroplatinum(Four) |
[Ni(HtwoNCHtwoCH2NH2)2Cl2] | dichlorobis(ethylenediamine)nickel(2) |
Examples in Which the Complex Is an Anion | |
[PtCl6]2− | hexachloroplatinate(IV) ion |
Na2[Due south nClsix] | sodium hexachlorostannate(IV) |
Sometimes, the Latin proper name of the metallic is used when the English proper name is clumsy. For example, ferrate is used instead of ironate, plumbate instead leadate, and stannate instead of tinate. The oxidation state of the metal is determined based on the charges of each ligand and the overall charge of the coordination compound. For instance, in [Cr(HiiO)ivClii]Br, the coordination sphere (in brackets) has a accuse of 1+ to balance the bromide ion. The water ligands are neutral, and the chloride ligands are anionic with a charge of 1− each. To decide the oxidation state of the metal, we set the overall charge equal to the sum of the ligands and the metal: +i = −two + x, and then the oxidation state (x) is equal to three+.
Determine the name of the following complexes and give the coordination number of the central metal atom.
- Na2[PtCl6]
- Chiliad3[Fe(C2O4)3]
- [Co(NH3)fiveCl]Cl2
Solution
- In that location are two Na+ ions, so the coordination sphere has a negative two charge: [PtClsix]2−. There are six anionic chloride ligands, so −2 = −6 + 10, and the oxidation state of the platinum is 4+. The name of the complex is sodium hexachloroplatinate(IV), and the coordination number is six.
- The coordination sphere has a charge of three− (based on the potassium) and the oxalate ligands each have a accuse of 2−, so the metal oxidation state is given by −3 = −six + 10, and this is an iron(Iii) complex. The name is potassium trisoxalatoferrate(III) (note that tris is used instead of tri because the ligand name starts with a vowel). Because oxalate is a bidentate ligand, this complex has a coordination number of half dozen.
- In this example, the coordination sphere has a cationic charge of 2+. The NH3 ligand is neutral, only the chloro ligand has a accuse of one−. The oxidation state is institute by +2 = −one + x and is iii+, so the complex is pentaaminechlorocobalt(III) chloride and the coordination number is six.
The complex potassium dicyanoargenate(I) is used to make antiseptic compounds. Requite the formula and coordination number.
- Respond
-
K[Ag(CN)ii]; coordination number two
The Structures of Complexes
The almost common structures of the complexes in coordination compounds are octahedral, tetrahedral, and square planar (Figure \(\PageIndex{vii}\)). For transition metallic complexes, the coordination number determines the geometry around the central metal ion. Table \(\PageIndex{3}\) compares coordination numbers to the molecular geometry:

Coordination Number | Molecular Geometry | Example |
---|---|---|
two | linear | [Ag(NH3)2]+ |
3 | trigonal planar | [Cu(CN)iii]two− |
iv | tetrahedral(d 0 or d ten), low oxidation states for Chiliad | [Ni(CO)4] |
4 | foursquare planar (d 8) | [NiClfour]2− |
5 | trigonal bipyramidal | [CoCl5]2− |
v | square pyramidal | [VO(CN)four]2− |
6 | octahedral | [CoCl6]3− |
7 | pentagonal bipyramid | [ZrFvii]three− |
8 | square antiprism | [ReF8]ii− |
8 | dodecahedron | [Mo(CN)eight]4− |
ix and to a higher place | more complicated structures | [ReH9]2− |
Unlike main group atoms in which both the bonding and nonbonding electrons determine the molecular shape, the nonbonding d-electrons exercise not change the arrangement of the ligands. Octahedral complexes take a coordination number of half-dozen, and the six donor atoms are arranged at the corners of an octahedron effectually the cardinal metal ion. Examples are shown in Figure \(\PageIndex{8}\). The chloride and nitrate anions in [Co(H2O)half-dozen]Cl2 and [Cr(en)3](NO3)3, and the potassium cations in K2[PtClhalf-dozen], are outside the brackets and are not bonded to the metal ion.

For transition metals with a coordination number of four, two different geometries are possible: tetrahedral or foursquare planar. Unlike main group elements, where these geometries tin be predicted from VSEPR theory, a more detailed discussion of transition metal orbitals (discussed in the section on Crystal Field Theory) is required to predict which complexes will be tetrahedral and which volition be square planar. In tetrahedral complexes such equally [Zn(CN)4]two− (Figure \(\PageIndex{nine}\)), each of the ligand pairs forms an angle of 109.5°. In foursquare planar complexes, such as [Pt(NHthree)iiCl2], each ligand has 2 other ligands at 90° angles (called the cis positions) and 1 additional ligand at an 180° angle, in the trans position.

Isomerism in Complexes
Isomers are different chemic species that have the same chemical formula. Transition metals often form geometric isomers, in which the same atoms are connected through the same types of bonds but with differences in their orientation in space. Coordination complexes with two different ligands in the cis and trans positions from a ligand of interest form isomers. For instance, the octahedral [Co(NHiii)4Cltwo]+ ion has two isomers. In the cis configuration, the two chloride ligands are adjacent to each other (Effigy \(\PageIndex{1}\)). The other isomer, the trans configuration, has the ii chloride ligands directly across from 1 another.

Unlike geometric isomers of a substance are unlike chemic compounds. They showroom different properties, even though they have the aforementioned formula. For example, the two isomers of [Co(NH3)4Cl2]NOthree differ in color; the cis form is violet, and the trans grade is green. Furthermore, these isomers accept different dipole moments, solubilities, and reactivities. As an example of how the arrangement in infinite tin can influence the molecular properties, consider the polarity of the two [Co(NHiii)ivCltwo]NO3 isomers. Recollect that the polarity of a molecule or ion is determined by the bond dipoles (which are due to the difference in electronegativity of the bonding atoms) and their arrangement in space. In one isomer, cis chloride ligands cause more electron density on 1 side of the molecule than on the other, making information technology polar. For the trans isomer, each ligand is directly beyond from an identical ligand, so the bond dipoles cancel out, and the molecule is nonpolar.
Identify which geometric isomer of [Pt(NH3)2Cl2] is shown in Figure \(\PageIndex{9}\)b. Depict the other geometric isomer and give its total proper noun.
Solution
In the Effigy \(\PageIndex{9}\)b, the two chlorine ligands occupy cis positions. The other form is shown in below. When naming specific isomers, the descriptor is listed in forepart of the name. Therefore, this complex is trans-diaminedichloroplatinum(Two).
The trans isomer of [Pt(NHiii)2Cl2] has each ligand directly beyond from an next ligand.
Draw the ion trans-diaqua-trans-dibromo-trans-dichlorocobalt(II).
- Answer
-
Some other important type of isomers are optical isomers, or enantiomers, in which two objects are exact mirror images of each other but cannot be lined up so that all parts lucifer. This means that optical isomers are nonsuperimposable mirror images. A archetype case of this is a pair of hands, in which the right and left hand are mirror images of one some other merely cannot be superimposed. Optical isomers are very important in organic and biochemistry because living systems often comprise one specific optical isomer and not the other. Unlike geometric isomers, pairs of optical isomers have identical properties (humid point, polarity, solubility, etc.). Optical isomers differ just in the way they touch polarized light and how they react with other optical isomers. For coordination complexes, many coordination compounds such as [M(en)three]northward+ [in which Thousandn+ is a central metal ion such as iron(3) or cobalt(II)] form enantiomers, as shown in Figure \(\PageIndex{xi}\). These two isomers volition react differently with other optical isomers. For case, Deoxyribonucleic acid helices are optical isomers, and the form that occurs in nature (right-handed DNA) will bind to just ane isomer of [M(en)3]n+ and not the other.

The [Co(en)2Cl2]+ ion exhibits geometric isomerism (cis/trans), and its cis isomer exists every bit a pair of optical isomers (Effigy \(\PageIndex{12}\)).
Linkage isomers occur when the coordination compound contains a ligand that tin can demark to the transition metal center through ii different atoms. For example, the CN ligand can bind through the carbon cantlet (cyano) or through the nitrogen atom (isocyano). Similarly, SCN− can exist spring through the sulfur or nitrogen atom, affording two distinct compounds ([Co(NH3)5SCN]ii+ or [Co(NH3)5NCS]2+).
Ionization isomers (or coordination isomers) occur when 1 anionic ligand in the inner coordination sphere is replaced with the counter ion from the outer coordination sphere. A simple example of two ionization isomers are [CoCl6][Br] and [CoCl5Br][Cl].
Coordination Complexes in Nature and Technology
Chlorophyll, the green paint in plants, is a complex that contains magnesium (Figure \(\PageIndex{13}\)). This is an example of a main group element in a coordination complex. Plants appear light-green because chlorophyll absorbs cherry-red and regal light; the reflected lite consequently appears dark-green. The free energy resulting from the absorption of light is used in photosynthesis.

One of the nigh important applications of transition metals is as industrial catalysts. As you recall from the chapter on kinetics, a goad increases the charge per unit of reaction by lowering the activation energy and is regenerated in the catalytic cycle. Over xc% of all manufactured products are made with the aid of one or more than catalysts. The ability to bind ligands and change oxidation states makes transition metal catalysts well suited for catalytic applications. Vanadium oxide is used to produce 230,000,000 tons of sulfuric acid worldwide each year, which in plow is used to make everything from fertilizers to cans for food. Plastics are fabricated with the assist of transition metal catalysts, forth with detergents, fertilizers, paints, and more (Effigy \(\PageIndex{14}\)). Very complicated pharmaceuticals are manufactured with catalysts that are selective, reacting with one specific bail out of a large number of possibilities. Catalysts allow processes to be more economical and more environmentally friendly. Developing new catalysts and better agreement of existing systems are of import areas of current research.

Many other coordination complexes are also brightly colored. The foursquare planar copper(Two) complex phthalocyanine bluish (from Figure \(\PageIndex{thirteen}\)) is 1 of many complexes used as pigments or dyes. This complex is used in blue ink, blueish jeans, and certain blue paints.
The construction of heme (Figure \(\PageIndex{15}\)), the iron-containing complex in hemoglobin, is very like to that in chlorophyll. In hemoglobin, the red heme complex is bonded to a large protein molecule (globin) by the attachment of the poly peptide to the heme ligand. Oxygen molecules are transported past hemoglobin in the blood by being bound to the iron center. When the hemoglobin loses its oxygen, the colour changes to a bluish red. Hemoglobin will only ship oxygen if the iron is Fe2+; oxidation of the iron to Fe3+ prevents oxygen ship.

Complexing agents often are used for water softening because they tie up such ions as Ca2+, Mgii+, and Fe2+, which make water hard. Many metal ions are also undesirable in nutrient products because these ions can catalyze reactions that modify the color of food. Coordination complexes are useful as preservatives. For example, the ligand EDTA, (HO2CCH2)2NCH2CH2North(CH2COiiH)2, coordinates to metal ions through six donor atoms and prevents the metals from reacting (Figure \(\PageIndex{16}\)). This ligand also is used to sequester metallic ions in paper production, textiles, and detergents, and has pharmaceutical uses.

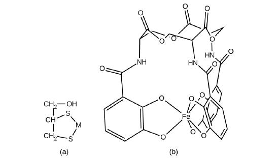
Complexing agents that necktie up metal ions are also used every bit drugs. British Anti-Lewisite (BAL), HSCH2CH(SH)CH2OH, is a drug developed during World War I as an antidote for the arsenic-based war gas Lewisite. BAL is now used to care for poisoning past heavy metals, such as arsenic, mercury, thallium, and chromium. The drug is a ligand and functions past making a water-soluble chelate of the metal; the kidneys eliminate this metal chelate (Effigy \(\PageIndex{17}\)). Another polydentate ligand, enterobactin, which is isolated from certain bacteria, is used to form complexes of iron and thereby to control the severe fe buildup constitute in patients suffering from claret diseases such as Cooley's anemia, who require frequent transfusions. As the transfused blood breaks down, the usual metabolic processes that remove iron are overloaded, and excess atomic number 26 can build upwardly to fatal levels. Enterobactin forms a water-soluble complex with excess iron, and the trunk tin can safely eliminate this complex.

Ligands like BAL and enterobactin are important in medical treatments for heavy metal poisoning. Still, chelation therapies can disrupt the normal concentration of ions in the trunk, leading to serious side effects, so researchers are searching for new chelation drugs. One drug that has been developed is dimercaptosuccinic acid (DMSA), shown in Effigy \(\PageIndex{18}\). Identify which atoms in this molecule could human action equally donor atoms.

Solution
All of the oxygen and sulfur atoms accept lone pairs of electrons that can exist used to coordinate to a metal center, so at that place are six possible donor atoms. Geometrically, merely 2 of these atoms can be coordinated to a metallic at once. The nearly common binding style involves the coordination of i sulfur atom and one oxygen atom, forming a 5-fellow member ring with the metal.
Some alternative medicine practitioners recommend chelation treatments for ailments that are not clearly related to heavy metals, such as cancer and autism, although the practice is discouraged by many scientific organizations.one Identify at to the lowest degree two biologically important metals that could be disrupted by chelation therapy.
- Answer
-
Ca, Iron, Zn, and Cu
Ligands are also used in the electroplating industry. When metallic ions are reduced to produce thin metallic coatings, metals can dodder together to form clusters and nanoparticles. When metal coordination complexes are used, the ligands go along the metal atoms isolated from each other. It has been found that many metals plate out every bit a smoother, more uniform, better-looking, and more adherent surface when plated from a bath containing the metal as a complex ion. Thus, complexes such as [Ag(CN)2]− and [Au(CN)ii]− are used extensively in the electroplating industry.
In 1965, scientists at Michigan State University discovered that there was a platinum complex that inhibited cell partitioning in certain microorganisms. Subsequently piece of work showed that the complex was cis-diaminedichloroplatinum(II), [Pt(NH3)2(Cl)2], and that the trans isomer was not effective. The inhibition of cell segmentation indicated that this foursquare planar compound could be an anticancer amanuensis. In 1978, the Us Food and Drug Administration approved this compound, known equally cisplatin, for use in the treatment of certain forms of cancer. Since that time, many like platinum compounds take been developed for the handling of cancer. In all cases, these are the cis isomers and never the trans isomers. The diamine (NH3)2 portion is retained with other groups, replacing the dichloro [(Cl)2] portion. The newer drugs include carboplatin, oxaliplatin, and satraplatin.
Summary
The transition elements and primary group elements tin grade coordination compounds, or complexes, in which a cardinal metallic cantlet or ion is bonded to i or more ligands by coordinate covalent bonds. Ligands with more than one donor atom are chosen polydentate ligands and form chelates. The mutual geometries institute in complexes are tetrahedral and square planar (both with a coordination number of 4) and octahedral (with a coordination number of six). Cis and trans configurations are possible in some octahedral and foursquare planar complexes. In improver to these geometrical isomers, optical isomers (molecules or ions that are mirror images simply non superimposable) are possible in certain octahedral complexes. Coordination complexes have a wide variety of uses including oxygen transport in claret, water purification, and pharmaceutical use.
- National Council against Health Fraud, NCAHF Policy Statement on Chelation Therapy, (Peabody, MA, 2002).
Glossary
- bidentate ligand
- ligand that coordinates to one cardinal metallic through coordinate bonds from two different atoms
- primal metallic
- ion or atom to which one or more ligands is attached through coordinate covalent bonds
- chelate
- complex formed from a polydentate ligand fastened to a primal metallic
- chelating ligand
- ligand that attaches to a central metallic ion past bonds from 2 or more donor atoms
- cis configuration
- configuration of a geometrical isomer in which two similar groups are on the same side of an imaginary reference line on the molecule
- coordination chemical compound
- substance consisting of atoms, molecules, or ions attached to a central atom through Lewis acid-base of operations interactions
- coordination number
- number of coordinate covalent bonds to the central metallic atom in a complex or the number of closest contacts to an cantlet in a crystalline form
- coordination sphere
- key metallic cantlet or ion plus the attached ligands of a complex
- donor atom
- atom in a ligand with a lone pair of electrons that forms a coordinate covalent bond to a cardinal metallic
- ionization isomer
- (or coordination isomer) isomer in which an anionic ligand is replaced by the counter ion in the inner coordination sphere
- ligand
- ion or neutral molecule attached to the central metal ion in a coordination compound
- linkage isomer
- coordination chemical compound that possesses a ligand that can bind to the transition element in 2 different ways (CN− vs. NC−)
- monodentate
- ligand that attaches to a fundamental metal through but one coordinate covalent bail
- optical isomer
- (also, enantiomer) molecule that is a nonsuperimposable mirror image with identical chemical and physical backdrop, except when it reacts with other optical isomers
- polydentate ligand
- ligand that is attached to a cardinal metal ion past bonds from two or more donor atoms, named with prefixes specifying how many donors are present (e.g., hexadentate = six coordinate bonds formed)
- trans configuration
- configuration of a geometrical isomer in which 2 similar groups are on opposite sides of an imaginary reference line on the molecule
Source: https://chem.libretexts.org/Courses/Sacramento_City_College/SCC%3A_Chem_400_-_General_Chemistry_I/Text/25%3A_Transition_Metals_and_Coordination_Compounds/25.3%3A_Coordination_Compounds
Posted by: bailesbuteatelf38.blogspot.com
0 Response to "How To Find Oxidation Number Of Complex Compound"
Post a Comment